4-نیتروبنزوئیک اسید به انگلیسی 4-Nitrobenzoic acid یک ترکیب آلی با فرمول C6H4(NO2)CO2H است.
4-نیتروبنزوئیک اسید یک جامد زرد کم رنگ به صورت پودر بلورین است.
4-نیتروبنزوئیک اسید پیش ساز برای 4-نیتروبنزوئیل کلرید، پیش ساز بی حس کننده پروکائین و اسید فولیک است. همچنین پیش ساز اسید 4 آمینو بنزوئیک است.
فرمول مولکولی C7H5NO4
جرم مولی 167.1189 g/mol
شکل ظاهری Light yellow crystalline powder[
چگالی 1.58
دمای ذوب 237 °C
دمای جوش Sublimes
انحلالپذیری در آب <0.1 g/100 mL at 26 °C
اسیدی (pKa) 3.41 (in water9.1 (in دیمتیل سولفواکسید)
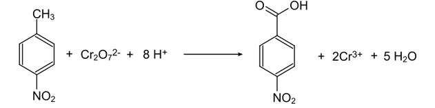
4-نیتروبنزوئیک اسید از اکسیداسیون 4-نیتروتولوئن با استفاده از اکسیژن یا دی کرومات به عنوان اکسیدان تهیه می شود.

روش دیگر، با نیتراسیون پلی استایرن و به دنبال اکسیداسیون جایگزین آلکیل تهیه شده است. این روش به دلیل محافظت فضایی از موقعیتهای ارتو توسط ستون فقرات پلیمری، با انتخابپذیری پارا/اورتو بهبود یافته ادامه مییابد.
این ترکیب دارای LD50 موش 1960 میلی گرم بر کیلوگرم است.
شركت مينا تجهيز آريا با سالها تجربه و با استفاده از تخصص،تعهد، تجربه و دانش هاي نوين اقدام به تهيه، توزيع مواد شیمیایی ( آزمایشگاهی ، صنعتی ) و تجهيز لوازم آزمايشگاهي، شيشه آلات و كليه ملزومات آزمايشگاهي از شركت هاي داخل و خارج كشور نموده است.
برای پرسش و پاسخ و دریافت قیمت و موجودی با کلیک روی لینک زیر به تلگرام شرکت پیام دهید
آدرس : تهران - میدان توحید- خیابان امیر لو(نبش کوچه خودرو) - پلاک 42- طبقه دوم - واحد5
ایمیل : minatajhiz_aria@yahoo.com
شماره ها تماس : 02166901187 - 02166900058
شماره های همراه :09362048289 - 09927282910
شماره های واتس آپ ، ایتا ، تلگرام و روبیکا : 09927282910